推荐在 cnblogs 上阅读
说来惭愧,这个模板仅是绿的算法至今我才学会。
我还记得去年 CSP2023 坐大巴路上拿着书背 Tarjan 的模板。虽然那年没有考连通分量类似的题目。
现在做题遇到了 Tarjan,那么,重学,开写!
另,要想学好此算法的第一件事——膜拜 Tarjan 爷爷。

其实广义上有许多算法都是 Tarjan 发明的(大名鼎鼎的 Link-Cut-Tree 正是出自他手),而本文介绍的是可以解决图中强连通分量的算法。
也就是狭义的 Tarjan 算法。
对于一个图 G G G 来说,一个字图中,任意两点都可以彼此到达(存在路径),这个子图就称为图 G G G 的强连通分量。特别地,一个点也是一个强连通分量。
Tarjan 是基于 DFS 实现的,走过的边会形成一棵搜索树。可以看作是原图删去一些边留下来而形成的。
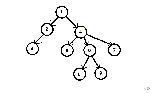
看个图吧:

如果我们把抛弃的边分为三个大类,可以分为:
上图把抛弃的边画出来就是这样了:

容易发现,能够构成环的只有前向边。而我们所需要得到的连通分量,正需要环。
我们怎么知道 DFS 到什么时候是一条前向边呢?
我们可以在 DFS 过程中给每个点打一个时间戳(实际上就是 DFS 序, dfn[x]=++cnt),如此,当我们遍历某节点的儿子 v v v 时, v v v 是一个已访问过的节点,那么我们找到了后向边。
如何维护?——用两个数组
dfn[i]:储存时间戳。low[i]:储存 i i i 点可以访问到的最高祖先的 dfn 值(因为 DFS 序由小到大,所以储存的数越小、表示 i i i 点访问祖先能力越强)。特殊地,一个点访问祖先的能力再差,也可以访问到自己。
code
int dfn[MAXN],low[MAXN],tim; bool vis[MAXN]; int ans; stack st; int belong[MAXN]; vector G[MAXN]; void tarjan(int x) { dfn[x]=low[x]=++tim; st.push(x); vis[x]=1; for(int i=hd[x];i;i=lt[i]) { int v=en[i]; if(!dfn[v]) { tarjan(v); low[x]=min(low[x],low[v]); } else if(vis[v]) // 此时找到后向边,不着急操作,等待回溯以后在操作 low[x]=min(low[x],dfn[v]); } if(dfn[x]==low[x]) // 这是根节点独有的性质 { ++ans; // 看看目前已经是第几个强连通分量了 int top; do { top=st.top();st.pop(); vis[top]=0; belong[top]=ans; // belong[] : 某节点属于那个强连通分量 G[ans].push_back(top); // 强连通分量有哪些成员节点。 } while (top!=x); } } 题目要求:求出最大强连通分量、并输出其成员。如数量相同,输出最小的成员集合。
此题目中,belong[] 就不需要了,存成员是必要的;按字典序输出的话,把成员丢进优先队列带走,秒了!
code
#include using namespace std; #define int long long const int MAXN=2e5+5; int n,m; int dfn[MAXN],low[MAXN],tim; bool vis[MAXN]; int ans; stack st; int belong[MAXN]; int su,hd[MAXN],lt[MAXN],en[MAXN]; priority_queue,greater> G[MAXN]; struct node { int id,sz,val; }p[MAXN]; void add(int u,int v) { en[++su]=v,lt[su]=hd[u],hd[u]=su; } void tarjan(int x) { dfn[x]=low[x]=++tim; st.push(x); vis[x]=1; for(int i=hd[x];i;i=lt[i]) { int v=en[i]; if(!dfn[v]) { tarjan(v); low[x]=min(low[x],low[v]); } else if(vis[v]) low[x]=min(low[x],dfn[v]); } if(dfn[x]==low[x]) { ++ans; p[ans].id=ans; p[ans].val=st.top(); int top; do { top=st.top();st.pop(); vis[top]=0; belong[top]=ans; p[ans].sz++; G[ans].push(top); } while (top!=x); } } signed main() { scanf("%lld%lld",&n,&m); for(int i=1,u,v,w;i<=m;i++) { scanf("%lld%lld%lld",&u,&v,&w); add(u,v); if(w==2) add(v,u); } for(int i=1;i<=n;i++) if(!dfn[i]) tarjan(i); sort(p+1,p+ans+1,[](node x,node y){ return x.sz==y.sz?x.valy.sz; }); printf("%lld\n",p[1].sz); while (!G[p[1].id].empty()) { printf("%lld ",G[p[1].id].top()); G[p[1].id].pop(); } return 0; }