集成学习(ensemble learning)通过构建并结合多个学习器来完成学习任务,有时也被称为多分类器系统(multi-classifier system)、基于委员会的学习(committee-based learning)等.
集成学习的一般结构:

同质集成:只包含同种类型的个体学习器,“基学习器”(base learner),相应的学习算法称为“基学习算法”(base learning algorithm)。
异质集成: 包含不同类型的个体学习器,“组件学习器”(component learner)或直接称为个体学习器。
集成学习通过将多个学习器进行结合,常可获得比单一学习器显著优越的泛化性能.
考虑一个简单的例子:在二分类任务中,假定三个分类器在三个测试样本上的表现如下图所示,其中√表示分类正确,×表示分类错误,集成学习的结果通过投票法(voting)产生,即“少数服从多数”.

要获得好的集成,个体学习器应“好而不同”,即个体学习器要有一定的“准确性”,即学习器不能太坏,并且要有“多样性”(diversity),即学习器间具有差异.
假设学习器的误差相互独立,则随着集成中个体分类器数目的增大,集成的错误率将指数级下降,最终趋向于零(但现实生活中不可能独立)。
根据个体学习器的生成方式,目前的集成学习方法大致可分为两大类,即
个体学习器间存在强依赖关系、必须串行生成的序列化方法:Boosting
个体学习器间不存在强依赖关系、可同时生成的并行化方法:Bagging 和“随机森林”(Random Forest).
Boosting的工作机制类似:先从初始训练集训练出一个基学习器,再根据基学习器的表现对训练样本分布进行调整,使得先前基学习器做错的训练样本在后续受到更多关注,然后基于调整后的样本分布来训练下一个基学习器;如此重复进行,直至基学习器数目达到事先指定的值T,最终将这T个基学习器进行加权结合。
Boosting族算法最著名的代表是AdaBoost,其描述如下图所示,其中
,
是真实函数。

AdaBoost 算法有多种推导方式,比较容易理解的是基于“加性模型”(additive model),即基学习器的线性组合

来最小化指数损失函数(exponential loss function)
![l_{exp}(H\mid \mathcal D)=\mathbb{E}_{X\sim \mathcal D}[E^{-f(x)H(x)}]](https://img.pic99.top/ittdroid/202411/b53e9d63914f685.png)
若H(a)能令指数损失函数最小化,则考虑上式对H(x)的偏导
![]()
因此,有

这意味着
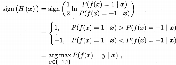
达到了贝叶斯最优错误率.换言之,若指数损失函数最小化,则分类错误率也将最小化;这说明指数损失函数是分类任务原本0/1损失·函数的一致的(consistent)替代损失函数.
使用Python和scikit-learn库实现的AdaBoost算法:
# 导入所需的库和数据集 from sklearn.ensemble import AdaBoostClassifier from sklearn.tree import DecisionTreeClassifier from sklearn.svm import SVC from sklearn.datasets import load_iris from sklearn.model_selection import train_test_split from sklearn.metrics import accuracy_score # 加载数据集 data = load_iris() X, y = data.data, data.target # 将数据集分为训练集和测试集 X_train, X_test, y_train, y_test = train_test_split(X, y, test_size=0.3, random_state=42) # 初始化AdaBoost算法,并使用两种不同的基本分类器 base_estimators = [ DecisionTreeClassifier(max_depth=1), # 使用深度为1的决策树作为第一个基本分类器 SVC(kernel='linear', C=1.0) # 使用线性SVM作为第二个基本分类器 ] n_estimators = 50 # 设置迭代次数为50 learning_rate = 1.0 # 设置学习率为1.0 #使用AdaBoost算法创建分类器对象clf,estimator参数指定使用的基本分类器,这里选择使用base_estimators列表中的第一个元素,即深 #度为1的决策树 clf = AdaBoostClassifier(estimator=base_estimators[0], n_estimators=n_estimators, learning_rate=learning_rate) # 在训练集上拟合模型 clf.fit(X_train, y_train) # 在测试集上评估模型 y_pred = clf.predict(X_test) accuracy = accuracy_score(y_test, y_pred) print("Accuracy: %.2f%%" % (accuracy * 100.0)) Bagging是并行式集成学习方法最著名的代表.直接基于自助采样法 (bootstrap sampling).给定包含m个样本的数据集,随机取出一个样本放入采样集中,再把该样本放回初始数据集,经过m次随机采样操作.
可采样出T个含m个训练样本的采样集,然后基于每个采样集训练出一个基学习器,再将这些基学习器进行结合.
Bagging 通常对分类任务使用简单投票法,对回归任务使用简单平均法.

没有被采用过的样本可用作验证集来对泛化性能进行“包外估计”(out-of-bag estimate) .需记录每个基学习器所使用的训练样本.
不妨令
表示
实际使用的训练样本集,令
表示对样本
的包外预测,有

则Bagging泛化误差的包外估计为

包外样本的其他用途:决策树:助剪枝、估计后验概率,神经网络:辅助早停
随机森林(Random Forest,简称RF) 在以决策树为基学习器构建Bagging集成的基础上,进一步在决策树的训练过程中引入了随机属性选择。
在RF中,对基决策树的每个结点,先从该结点的属性集合中随机选择一个包含k个属性的子集,然后再从这个子集中选择一个最优属性用于划分.推荐值
。
随机森林简单、容易实现、计算开销小,基学习器的多样性不仅来自样本扰动,还来自属性扰动。
随机森林的收敛性与 Bagging 相似.起始性能往往相对较差,随着个体学习器数目的增加,随机森林通常会收敛到更低的泛化误差.

学习器结合可能会从三个方面带来好处:
统计:若使用单学习器可能因误选而导致泛化性能不佳,结合多个学习器则会减小这一风险;
计算:降低陷入糟糕局部极小点的风险
表示:假设空间有所扩大,有可能学得更好的近似.
简单平均法(simple averaging):
,个体学习器性能相近时宜用。
加权平均法(weighted averaging):
,通常要求
,个体学习器性能相差较大时宜用,权重一般是从训练数据中学习而得。
绝对多数投票法(majority voting):某标记得票数过半
相对多数投票法(plurality voting):得票最多的标记
加权投票法(weighted voting):
在现实任务中,不同类型个体学习器可能产生不同类型的
值,常见的有:
类标记:
,若
将样本
预测为类别
则取值为1,否则为0.使用类标记的投票亦称“硬投票”(hard voting).
类概率:,相当于对后验概率
的一个估计.使用类概率的投票亦称“软投票”(soft voting).
不同类型的
值不能混用.对一些能在预测出类别标记的同时产生分类置信度的学习器,其分类置信度可转化为类概率使用.若此类值未进行规范化,进行“校准”(calibration)后才能作为类概率使用.若基学习器的类型不同,则其类概率值不能直接进行比较;在此种情形下,通常可将类概率输出转化为类标记输出(例如将类概率输出最大的h(ac)设为1,其他设为0)然后再投票.
“学习法”:通过另一个学习器来进行结合.个体学习器称为初级学习器,用于结合的学习器称为次级学习器或元学习器(meta-learner)。
Stacking 先从初始数据集训练出初级学习器,然后“生成”一个新数据集用于训练次级学习器.初级集成是异质的。

一般是通过使用交叉验证或留一法这样的方式,用训练初级学习器未使用的样本来产生次级学习器的训练样本。
将初级学习器的输出类概率作为次级学习器的输入属性,用多响应线性回归(Multi-response Linear Regression,简称MLR)作为次级学习算法效果较好,在 MLR中使用不同的属性集更佳。
假定我们用个体学习器
通过加权平均法结合产生的集成来完成回归学习任务
对示例x,定义学习器
的“分歧”(ambiguity)为
![]()
则集成的“分歧”是:

这里的“分歧”项表征了个体学习器在样本。上的不一致性,即在定程度上反映了个体学习器的多样性。
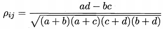
多样性度量(diversity measure)是用于度量集成中个体分类器的多样性,典型做法是考虑个体分类器的两两相似/不相似性.
给定数据集
,对二分类任务,
,分类器
与
的预测结果列联表(contingency table)为

值域为[0,1],值越大多样性越大
-统计量(r-statistic)
k-误差图是将每一对分类器作为图上的一个点,横坐标为分类器的k值,纵坐标为平均误差。

一般思路是在学习过程中引入随机性,常见做法:
数据样本扰动:给定初始数据集,可从中产生出不同的数据子集,再利用不同的数据子集训练出不同的个体学习器。
基于采样法,(Bagging:自助采样,在AdaBoost:序列采样)。
- 对“不稳定基学习器”(如决策树、神经网络等)很有效;
- “稳定基学习器”(stablebase learner)(如线性学习器、支持向量机、朴素贝叶斯、k近邻学习器等)不敏感。
输入属性扰动:训练样本通常由一组属性描述,不同的“子空间”(subspace,即属性子集)提供了观察数据的不同视角(如随机子空间(random subspace)算法)。
大量冗余属性:宜用;少量属性,冗余属性很少:不宜使用。
输出表示扰动:对输出表示进行操纵以增强多样性。
- 可对训练样本的类标记稍作变动,如“翻转法”(Flipping Output);
- 可对输出表示进行转化,如“输出调制法”(OutputSmearing);
- 可将原任务拆解为多个可同时求解的子任务,如 ECOC法。
算法参数扰动:通过随机设置不同的参数,往往可产生差别较大的个体学习器(如“负相关法”(Negative Correlation))。