给定一个包含 n + 1 个整数的数组 nums ,其数字都在 [1, n] 范围内(包括 1 和 n),可知至少存在一个重复的整数。
假设 nums 只有 一个重复的整数 ,返回 这个重复的数 。
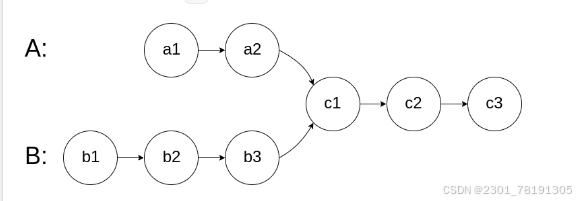
给定大小为n+1的整数数组nums,元素的范围在[1,n]中,必然有一个重复的数字。如何通过找环的思想处理这道题?当我们将数组的值和下标对应在一起的时候,有一个值是对应两个下标的。因此在这里一定会形成环。
eg:[1,3,4,2,2]。以下标0为起始,nums[i]作为下一个下标。
1.下标为0,下一个下标为nums[0]=1,1不仅为下一个下标,也为当前的值。
2.下标为1,下一个下标为nums[1]=3,
3.下标为3,下一个下标为nums[3]=2;
4.下标为2,下一个下标为nums[2]=4;
5.下标为4,下一个下标为nums[4]=2;
现在有两个位置的下标可以到达2,因此就有环出现了。

通过之前环形链表II的思路:快慢指针相遇代表有环,然后头结点到入口的距离=相遇点到入口的距离。这样就可以找到入口,也就是重复的数。
class Solution { public int findDuplicate(int[] nums) { int slow=0; int fast=0; slow=nums[slow]; fast=nums[nums[fast]]; while(slow!=fast){ slow=nums[slow]; fast=nums[nums[fast]]; } //slow和fast一定会相遇的 题目中给出来了 int head=0; while(slow!=head){ head=nums[head]; slow=nums[slow]; } return head; } } 就是根据某种要求将链表重新拼接起来。比如说:将所有索引为奇数的节点和索引为偶数的节点分别组合在一起,然后返回重新排序的列表。又或者说,将链表中元素>=k的都放到后面, 比如说:奇偶链表:如果(下标值+1)%2==0,说明是偶数节点;偶数节点.next=null;然后把偶数节点放到newHead后面。循环完之后,把newHead.next放到cur的后面就行了 给你两个单链表的头节点 但是问题在于两个链表的起始节点位置不一样。eg:A从位置1出发,B从位置0出发。 那么如何才能让他们走的距离是一样的。假如A到相交节点的距离是:x;B到相交节点的距离是:y。 相交链表的长度是c; x+c+y=y+c=x。这样的距离一定是相等的。 A走到null(x+c)就去headB继续走(y); B走到null(y+c)就去headA继续走(x); 直到A和B相等 现在,给出位于一条水平线上的房屋 这道题中的思路就是:遍历每一个房屋houses,找距离它最近的供暖器,然后计算出半径。然后取一个能满足所有房屋都能被供暖的半径。 有三种情况: 1.房屋在最左边,左边没有供暖器了,只有右边有,那么半径等于右边第一个供暖器的位置-房屋的位置 2.房屋在最右边,右边没有供暖器了,只有左边有,那么半径等于左边第一个供暖器的位置-房屋的位置 3.房屋的左右都用供暖器,找距离它最近的供暖器,然后计算半径。难点:如何找到距离该房屋最近的供暖器?找到下标比它大的第一个供暖器,然后找到第一个比他小的供暖器,比较两个就行了 使用二分法找下标比它大的第一个供暖器 对于一个完全平方数而言,可以写成这样的形式:num=1+3+5+...+(2∗n−1) 要从0->n中获取一个数字使得n^2=num,使用二分法是比较合适的。 注意:在判断n^2和num是否相等时,为了防止溢出使用mid和num/mid进行判断; mid mid>num/mid;说明目标值在左边区域中,right=mid; mid==num/mid:有可能是精度缺失后相等,因此要特别注意(num%mid==0) 给你一个仅由整数组成的有序数组,其中每个元素都会出现两次,唯有一个数只会出现一次。 请你找出并返回只出现一次的那个数。必须满足 如何将这道题和二分法联系起来? 根据题意我们可以发现规律: 在没有出现单个元素之前,奇数下标的值一定和它的前一个下标值相等;偶数下标的值一定和它下一个下标的值相等。 如果下标mid满足上面的规律,那么mid之前的数字都满足,更新left=mid+1; 如果下标mid不满足上面的规律,那么mid之后的数字都不满足,更新right=mid; 给你一个按照非递减顺序排列的整数数组 以往我们使用二分搜索target的时候,当nums[mid]==target的时候,就返回mid了。此时就找到了数组中哪一个下标的值为target。 但是如果让我们找元素的第一个位置,就需要我们把右边相等的元素都筛除掉。那么应该如何删除?(只有在更新右边区域的时候才能筛除掉右边元素)所以只有当nums[i]>=target的时候,right=mid; (这样mid之后相等的元素就被筛除掉了) else left=mid+1 如果让我们找元素的最后一个位置,就需要我们把左边相等的元素都筛除掉。那么应该如何删除? 当nums[mid]<=target的时候,left=mid else right=mid-1;思路:做这种题的思路就是,重新建立一个newHead,把另一组的节点都放到newHead后面,然后两段链表连起来就行。
代码:
class Solution { public ListNode oddEvenList(ListNode head) { ListNode dummyHead=new ListNode(); dummyHead.next=head; ListNode cur1=dummyHead; ListNode newHead=new ListNode(); ListNode cur2=newHead; int index=1; while(cur1.next!=null){ if(index%2==0){ ListNode temp=cur1.next; cur1.next=cur1.next.next; temp.next=null; cur2.next=temp; cur2=cur2.next; index++; }else{ cur1=cur1.next; index++; } } cur1.next=newHead.next; return dummyHead.next; } }三、相交链表
headA 和 headB ,请你找出并返回两个单链表相交的起始节点。如果两个链表不存在相交节点,返回 null 。
思路:如果两个单链表有相交的节点。那么从0开始到相交节点的距离一定是一样的。
代码:
public class Solution { public ListNode getIntersectionNode(ListNode headA, ListNode headB) { ListNode A=headA,B=headB; while(A!=B){ A=A==null?headB:A.next; B=B==null?headA:B.next; } return A; } }四、供暖器(二分查找)
houses 和供暖器 heaters 的位置,请你找出并返回可以覆盖所有房屋的最小加热半径。思路:
代码:
class Solution { public int findRadius(int[] houses, int[] heaters) { //先对供暖器的位置进行升序排 Arrays.sort(heaters); int res=Integer.MIN_VALUE; int d=0; for(int i=0;i五、有效的完全平方数(二分法)
解法一:数学规律
class Solution { public boolean isPerfectSquare(int num) { int n=1; while(num>0){ num-=n; n+=2; } return num==0; } }解法二:二分法
class Solution { public boolean isPerfectSquare(int num) { if(num==1)return true; int left=0,right=num; while(left六、有序数组中的单一元素
O(log n) 时间复杂度和 O(1) 空间复杂度。思路:
代码:
class Solution { public int singleNonDuplicate(int[] nums) { //奇数下标:如果前面没有单个数字 一定和前一个值相等 //偶数下标:如果前面没有单个数字 一定和后一个值相等 int size=nums.length; int left=0,right=size-1; while(left七、在排序数组中查找元素的第一个位置和最后一个位置(好题)
解法一:二分查找target后,while循环寻找最左边和最右边
class Solution { public int[] searchRange(int[] nums, int target) { int left=0; int right=nums.length-1; int[] res=new int[]{-1,-1}; while(left解法二:
nums,和一个目标值 target。请你找出给定目标值在数组中的开始位置和结束位置。如果数组中不存在目标值 target,返回 [-1, -1]。思路:
注意:1.在找元素最后一个位置的时候,如果mid=(left+right)/2 此时如果left+1=right 那么mid一直会是left,会一直陷入循环中,此时就必须把mid=(left+right+1)/2
代码:
class Solution { public int[] searchRange(int[] nums, int target) { int[] res = new int[] { -1, -1 }; if (nums.length == 0) return res; int left = 0; int right = nums.length - 1; // 先找target左边第一个元素 while (left < right) { int mid = left + (right - left) / 2; if (nums[mid] >= target) right = mid; else left = mid + 1; } // 此时找到了左边第一个元素 left if (nums[left] != target) return res; res[0] = left; left = 0; right = nums.length - 1; while (left < right) { //是为了防止当left+1=right的时候 之前是mid=(left+right)/2 2left+1/2=left //此时mid就一直会是left 一直循环 int mid = left + (right - left+1) / 2; if (nums[mid] <= target) left = mid; else right = mid - 1; } res[1] = right; return res; } }