1、传递函数
2、波特图零点与极点
零极点又称初始极点或者主极点,是分析电路中的物理学名词,主要的作用是用来分析电路的频率特性、系统的稳定性。此外,还可以得出系统的时域响应等相关方面的参数。
电路中传递函数可以理解为放大倍数。图2.48所示的电路由运放隔离成前后两级,第一级为高通滤波(截止频率fL ≈ 1.6Hz),第二级为低通滤波(截止频率fH ≈ 16.2kHz)。
1)按照前后级截止频率,可以粗略理解为大于 1.6Hz 和小于 16.2kHz 的信号可以通过滤波器。所以图1所示电路为带通滤波器。

图1 带通滤波器电路
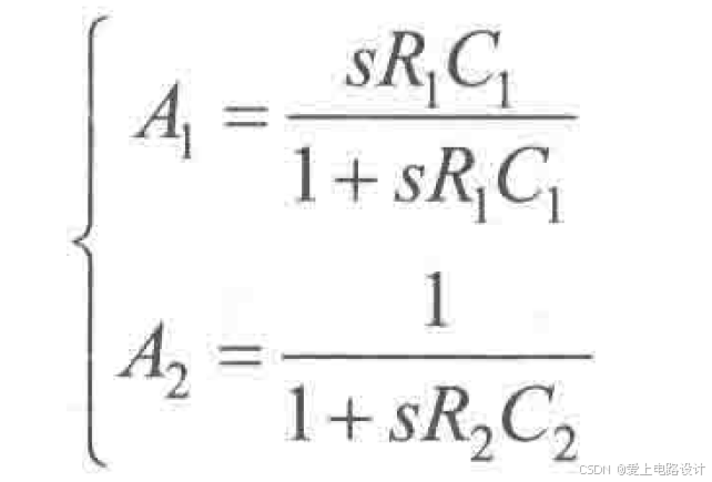
2)假定前一级放大倍数为 A1,第二级放大倍数为 A2,总的放大倍数为 A = A1*A2。按阻抗分压原理,可以很容易得到式1。

式1 通过阻抗分压
3)用 s 替代式1中的 jω (拉普拉斯变换),就可以得到式2,使分子为零的 s 称为零点,使分母为零的 s 称为极点。分母中 s 的最高指数称为滤波器的阶数。

式2 拉氏变换
4)通过式2可以看出,A1 代表的高通滤波器有一个零点(0Hz)和一个极点(16.2kHz),A2 代表的低通滤波器只有一个极点(1.6Hz)。A1 和 A2 合成的带通滤波器的阶数为 2 阶。
通过式2可得,在图1所示的带通滤波器中,存在 0Hz 零点、1.6Hz 和 16.2kHz两个极点。关于零、极点在波特图的物理意义总结如下。
1)零点处幅频特性曲线的斜率变化 20dB/10倍频(频率每增加10倍,幅值下降dB),相移 45°。
2)极点处幅频特性曲线的斜率变化 -20dB/10倍频,相移-45°。
图2所示为带通滤波器的幅频和相频特性曲线。

图2 带通滤波器的幅频和相频特性曲线
1)0Hz零点处(TINA仿真无法从0Hz开始),幅频特性曲线开始有 20dB/10倍频的斜率。
2)零点处的相移是 45°,但在远小于零点处,相移为90°,所以相频特性曲线从 90° 开始。
3)在第一个极点 1.6Hz 处,幅频特性曲线变化 -20dB/10倍频,所以 1.6Hz 以后幅频特性曲线变为水平。
4)1.6Hz 极点处会发生 -45° 相移,所以 1.6Hz 处总相移为90°-45° = 45°。在远离 1.6Hz 极点处比如 1.6Hz 以后,总相移变为 90°-90° = 0°。
5)在第二个极点 16.2kHz 处,幅频特性曲线变化 -20dB/10倍频,所以 16.2kHz 以后幅频特性曲线变为 -20dB/10倍频。
6)16.2kHz 极点处会发生 -45° 相移,所以 16.2kHz 处总相移为90°-90°-45° = 45°。在远离16.2kHz 极点处,比如 16.2kHz 以后,总相移变为 90°-90°-90° = 90°。
本节内容采用TINA-TI软件仿真(TINA-TI的介绍与入门使用),仿真原文件下载移步:零点与极点。
把问题时时放在心头,直到一点曙光逐渐破晓终而变成阳光普照。觉得不错,动动发财的小手点个赞哦!