
MIMIC-IV 发文难?那是你还没遇到对的思路!如今机器学习+数据库挖掘的文章层出不穷,今天介绍的这篇文章是在MIMIC-IV数据库的基础上,用了一个新指标—应激性高血糖比(SHR),结合机器学习构建预测模型,拿下一区8分+!
2024年5月9日,暨南大学的学者用MIMIC-IV 数据库,在期刊《Cardiovascular Diabetology》(医学一区top,IF=8.5)发表题为:“Association between the stress hyperglycemia ratio and 28-day all-cause mortality in critically ill patients with sepsis: a retrospective cohort study and predictive model establishment based on machine learning ”的研究论文,旨在探讨应激性高血糖比(SHR)与脓毒症危重患者不良结局之间的关联。
研究结果表明,无论是否存在 2 型糖尿病,SHR 与脓毒症危重患者的28 全因死亡率和住院死亡率呈 U 型关系。同时,SHR可作为脓毒症危重患者的不良结局预测指标。

本公号回复“ 原文”即可获得文献PDF等资料
简单来说,脓毒症是人体对感染产生炎症反应,当炎症反应失控,不只是感染起始的脏器,而其他组织脏器也会引起损伤,造成致命性的器官功能障碍。据统计,全球每年超过1100万人死于脓毒症,约占全球死亡人数的1/5,而且有相当多的死亡者为儿童。
在先前的研究中,应激性高血糖比(SHR)可用于评估应激相关高血糖与疾病严重程度的关系,可以作为各种心脑血管疾病不良结局的可靠预测指标。
两个队列研究TyG指数与中风的关联
本项研究使用MIMIC-IV的数据,最终纳入2,312名年龄18岁~90岁、ICU时间超过24h且诊断为脓毒症的患者,60.38%为男性。根据SHR的四分位数,研究人群被分为四组。
SHR计算方法为SHR=ABG(mg/dL)/[28.7×HbA1c(%)−46.7]
主要结局是28天全因死亡率,次要结局是住院死亡率。

初步分析结果显示,SHR指数越高,28天死亡率和住院死亡率越高。
在随后的RCS分析中,研究团队根据混杂因素进行了调整。研究结果与主要分析结果一致,均表明SHR与死亡风险之间存在U型关联。

在随后的亚组分析中,无论协变量是否调整,SHR指数最高的人群始终表现出最高的死亡风险。这一发现表明,无论基线水平如何,较高的SHR指数与危重脓毒症患者的28天死亡风险增加相关。
用机器学习法构建预测模型
首先用 Boruta 算法评估SHR的预测能力,绿色区域中的变量被标识为重要特征,红色区域中的变量被标识为不重要特征。由下图可知,SHR位于绿色区域,在特征选择中表现出较高的Z值。
这意味着SHR可能在脓毒症危重患者不良结局发挥重要作用。

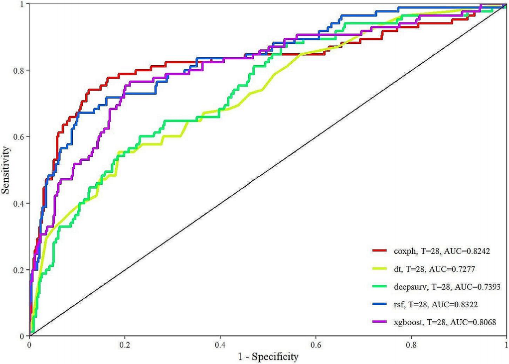
进一步使用机器学习算法建立预测模型,将变量SHR纳入各种机器学习算法,结果表明这些预测模型都表现出良好的性能,其中rsf算法构建的模型表现最佳(AUC=0.8322)。
可以合理推断,应激性高血糖比率(SHR)可能是本研究中一个重要的预测指标或影响因素。

综上所述,该研究证实无论是否存在 2 型糖尿病,SHR 与脓毒症危重患者的 28 天全因死亡率和住院死亡率呈 U 型关系,即较高的SHR与不良事件的风险增加显著相关。同时研究团队使用机器学习算法得出,SHR 可用于预测脓毒症危重患者的不良结局。
今天这篇一区佳作可算是把MIMIC-IV数据库“玩明白了”,这种公共数据挖掘与机器学习相结合,探究疾病与临床指标之间的相关性的思路非常值得我们学习!想要了解更多发文思路请关注“公共数据库与孟德尔随机化”公众号,更多高分文章等你来看!
后 记
今天这篇文章对MIMIC-IV数据库中的脓毒症危重患者进行综合分析,首次揭示了危重症脓毒血症患者的应激性高血糖比与不良结局之间的关系,最大的亮点在于使用机器学习模型发现了对不良结局具有重要影响的临床指标。
想挖掘公共数据的可别再犹豫了!想要发高分,除了追热点,还要有新颖的创新思路。如果你在分析过程中遇到难题,欢迎加入郑老师统计服务团队开展的课程!专属实验设计、定制化数据分析,助力发文SCI!

我们团队提供“公共数据库挖掘”服务了
①公共数据库数据下载
②挖掘出具有发表级的结果
③包括SEER、NHANES、老年健康数据库、GBD数据库等
④提供规范的统计分析报告
⑤提供写作建议
联系李老师咨询(微信号sas555777)
