【C++】二叉搜索树(概念、操作)
创始人
2024-12-09 08:05:40
0

🌈个人主页:秦jh_-CSDN博客
🔥 系列专栏:https://blog.csdn.net/qinjh_/category_12575764.html?spm=1001.2014.3001.5482

 9efbcbc3d25747719da38c01b3fa9b4f.gif​ 

目录

前言

二叉搜索树

概念

操作 

查找 

插入 

中序遍历

​编辑​

 删除

 二叉搜索树的应用

性能分析


前言

    💬 hello! 各位铁子们大家好哇。

             今日更新了二叉搜索树的相关内容
    🎉 欢迎大家关注🔍点赞👍收藏⭐️留言📝

二叉搜索树

概念

二叉搜索树又称二叉排序树,它或者是一棵空树,或者是具有以下性质的二叉树: 

  • 若它的左子树不为空,则左子树上所有节点的值都小于根节点的值
  • 若它的右子树不为空,则右子树上所有节点的值都大于根节点的值
  • 它的左右子树也分别为二叉搜索树 

操作 

查找 

  1. 从根开始比较,查找,比根大则往右边走查找,比根小则往左边走查找。
  2. 最多查找高度次,走到到空,还没找到,这个值不存在。 

插入 

  1. 树为空,则直接新增节点,赋值给root指针
  2. 树不空,按二叉搜索树性质查找插入位置,插入新节点 。默认不能冗余,如果已经有相同的值了,就插入失败。

中序遍历

二叉搜索树的中序遍历,其实就是升序后的排序。因为根节点是私有的,这里不适合用友元。所以对于递归的函数,可以弄一个子函数为私有,套一层在外面,这里就不需要传形参了,不需要访问私有的根节点了。 

 删除

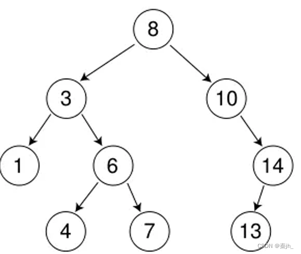
​ 

上图是我们即将使用的搜索二叉树模型。

首先查找元素是否在二叉搜索树中,如果不存在,则返回, 否则要删除的结点可能分下面四种情 况: 

  1. 要删除的结点无孩子结点(情况1)
  2.  要删除的结点只有左孩子结点(情况2)
  3.  要删除的结点只有右孩子结点(情况3)
  4. 要删除的结点有左、右孩子结点(情况4)

实际上,情况1可以和2,3合并起来,不需要额外判断。

实际删除过程:

  • 情况2:删除该节点且使该节点的父节点指向该节点的左孩子。
  • 情况3:删除该节点且使该节点的父节点指向该节点的右孩子。
  • 情况4:在它的右子树找最左节点进行交换,然后再处理该节点的删除问题。(或者找左子树的最右节点进行替换)

 删除的完整代码:

	bool Erase(const K& key) 	{ 		Node* cur = _root; 		Node* parent = nullptr; 		while (cur) 		{ 			if (cur->_key < key) 			{ 				parent = cur; 				cur = cur->_right; 			} 			else if (cur->_key > key) 			{ 				parent = cur; 				cur = cur->_left; 			} 			else 			{ 				//删除 				//左为空,父亲指向我的右 				if (cur->_left == nullptr) 				{ 					if (cur == _root)  					{ 						_root = cur->_right; 					} 					else 					{ 						if (cur == parent->_left) 						{ 							parent->_left = cur->_right; 						} 						else 						{ 							parent->_right = cur->_right; 						} 					}  					delete cur; 				} 				else if (cur->_right == nullptr) 				{ 					if (cur == _root) 					{ 						_root = cur->_left; 					} 					else 					{ 						//右为空,父亲指向我的左 						if (cur == parent->_left) 						{ 							parent->_left = cur->_left; 						} 						else 						{ 							parent->_right = cur->_left; 						} 					}  					delete cur; 				} 				else 				{ 					//左右都不为空,替换法删除 					//查找右子树的最左节点替代删除(也可找左子树的最右节点替换)                     //注意删除根节点的特殊情况,此时rightmin的父亲为cur 					Node* rightMinParent = cur; 					Node* rightMin = cur->_right; 					while (rightMin->_left) 					{ 						rightMinParent = rightMin; 						rightMin = rightMin->_left; 					} 					swap(cur->_key, rightMin->_key);                                          //判断rightmin在父亲的左边还是右边                     //rightmin左边为空,所以rightmin的父亲指向rightmin的右边 					if(rightMinParent->_left==rightMin) 						rightMinParent->_left = rightMin->_right; 					else 						rightMinParent->_right = rightMin->_right;  					delete rightMin; 				}  				return true; 			} 		} 		return false; 	}

注意,当删除全部节点时,需要更新根节点,如上图。

 二叉搜索树的应用

K模型:K模型即只有key作为关键码,结构中只需要存储Key即可,关键码即为需要搜索到的值。 

KV模型:每一个关键码key,都有与之对应的值Value,即的键值对。

K模型代码:

namespace key { 	template 	struct BSTreeNode 	{ 		BSTreeNode* _left; 		BSTreeNode* _right; 		K _key;  		BSTreeNode(const K& key) 			:_left(nullptr) 			, _right(nullptr) 			, _key(key) 		{} 	};  	template 	class BSTree 	{ 		typedef BSTreeNode Node; 	public: 		bool Insert(const K& key) 		{ 			if (_root == nullptr) 			{ 				_root = new Node(key); 				return true; 			}  			Node* cur = _root; 			Node* parent = nullptr; 			while (cur) 			{ 				if (cur->_key < key) 				{ 					parent = cur; 					cur = cur->_right; 				} 				else if (cur->_key > key) 				{ 					parent = cur; 					cur = cur->_left; 				} 				else 				{ 					return false; 				} 			}  			cur = new Node(key); 			if (parent->_key > key) 			{ 				parent->_left = cur; 			} 			else 			{ 				parent->_right = cur; 			} 			return true; 		}  		bool Find(const K& key) 		{ 			Node* cur = _root; 			while (cur) 			{ 				if (cur->_key < key) 				{ 					cur = cur->_right; 				} 				else if (cur->_key > key) 				{ 					cur = cur->_left; 				} 				else 				{ 					return true; 				} 			} 			return false; 		}  		bool Erase(const K& key) 		{ 			Node* cur = _root; 			Node* parent = nullptr; 			while (cur) 			{ 				if (cur->_key < key) 				{ 					parent = cur; 					cur = cur->_right; 				} 				else if (cur->_key > key) 				{ 					parent = cur; 					cur = cur->_left; 				} 				else 				{ 					//删除 					//左为空,父亲指向我的右 					if (cur->_left == nullptr) 					{ 						if (cur == _root) 						{ 							_root = cur->_right; 						} 						else 						{ 							if (cur == parent->_left) 							{ 								parent->_left = cur->_right; 							} 							else 							{ 								parent->_right = cur->_right; 							} 						}  						delete cur; 					} 					else if (cur->_right == nullptr) 					{ 						if (cur == _root) 						{ 							_root = cur->_left; 						} 						else 						{ 							//右为空,父亲指向我的左 							if (cur == parent->_left) 							{ 								parent->_left = cur->_left; 							} 							else 							{ 								parent->_right = cur->_left; 							} 						}  						delete cur; 					} 					else 					{ 						//左右都不为空,替换法删除 						//查找右子树的最左节点替代删除(也可找左子树的最右节点替换) 						Node* rightMinParent = cur; 						Node* rightMin = cur->_right; 						while (rightMin->_left) 						{ 							rightMinParent = rightMin; 							rightMin = rightMin->_left; 						} 						swap(cur->_key, rightMin->_key);  						if (rightMinParent->_left == rightMin) 							rightMinParent->_left = rightMin->_right; 						else 							rightMinParent->_right = rightMin->_right;  						delete rightMin; 					}  					return true; 				} 			} 			return false; 		}  		void InOrder() 		{ 			_InOrder(_root); 			cout << endl; 		}  	private: 		void _InOrder(Node* root) 		{ 			if (root == nullptr) 				return;  			_InOrder(root->_left); 			cout << root->_key << ":" << root->_val << endl; 			_InOrder(root->_right); 		} 	private: 		Node* _root = nullptr; 	};  	void BSTreeTest1() 	{ 		int a[] = { 8, 3, 1, 10, 6, 4, 7, 14, 13 }; 		BSTree t1; 		for (auto e : a) 		{ 			t1.Insert(e); 		}  		t1.InOrder();  		t1.Erase(8); 		t1.InOrder();  		for (auto e : a) 		{ 			t1.Erase(e); 			t1.InOrder(); 		} 	}  }

KV模型代码:

namespace key_value { 	template 	struct BSTreeNode 	{ 		BSTreeNode* _left; 		BSTreeNode* _right; 		K _key; 		V _val;  		BSTreeNode(const K& key,const V& val) 			:_left(nullptr) 			, _right(nullptr) 			, _key(key) 			,_val(val) 		{} 	};  	template 	class BSTree 	{ 		typedef BSTreeNode Node; 	public: 		bool Insert(const K& key,const V& val) 		{ 			if (_root == nullptr) 			{ 				_root = new Node(key,val); 				return true; 			}  			Node* cur = _root; 			Node* parent = nullptr; 			while (cur) 			{ 				if (cur->_key < key) 				{ 					parent = cur; 					cur = cur->_right; 				} 				else if (cur->_key > key) 				{ 					parent = cur; 					cur = cur->_left; 				} 				else 				{ 					return false; 				} 			}  			cur = new Node(key,val); 			if (parent->_key > key) 			{ 				parent->_left = cur; 			} 			else 			{ 				parent->_right = cur; 			} 			return true; 		}  		Node* Find(const K& key) 		{ 			Node* cur = _root; 			while (cur) 			{ 				if (cur->_key < key) 				{ 					cur = cur->_right; 				} 				else if (cur->_key > key) 				{ 					cur = cur->_left; 				} 				else 				{ 					return cur; 				} 			} 			return nullptr; 		}  		bool Erase(const K& key) 		{ 			Node* cur = _root; 			Node* parent = nullptr; 			while (cur) 			{ 				if (cur->_key < key) 				{ 					parent = cur; 					cur = cur->_right; 				} 				else if (cur->_key > key) 				{ 					parent = cur; 					cur = cur->_left; 				} 				else 				{ 					//删除 					//左为空,父亲指向我的右 					if (cur->_left == nullptr) 					{ 						if (cur == _root) 						{ 							_root = cur->_right; 						} 						else 						{ 							if (cur == parent->_left) 							{ 								parent->_left = cur->_right; 							} 							else 							{ 								parent->_right = cur->_right; 							} 						}  						delete cur; 					} 					else if (cur->_right == nullptr) 					{ 						if (cur == _root) 						{ 							_root = cur->_left; 						} 						else 						{ 							//右为空,父亲指向我的左 							if (cur == parent->_left) 							{ 								parent->_left = cur->_left; 							} 							else 							{ 								parent->_right = cur->_left; 							} 						}  						delete cur; 					} 					else 					{ 						//左右都不为空,替换法删除 						//查找右子树的最左节点替代删除(也可找左子树的最右节点替换) 						Node* rightMinParent = cur; 						Node* rightMin = cur->_right; 						while (rightMin->_left) 						{ 							rightMinParent = rightMin; 							rightMin = rightMin->_left; 						} 						swap(cur->_key, rightMin->_key);  						if (rightMinParent->_left == rightMin) 							rightMinParent->_left = rightMin->_right; 						else 							rightMinParent->_right = rightMin->_right;  						delete rightMin; 					}  					return true; 				} 			} 			return false; 		}  		void InOrder() 		{ 			_InOrder(_root); 			cout << endl; 		}  	private: 		void _InOrder(Node* root) 		{ 			if (root == nullptr) 				return;  			_InOrder(root->_left); 			cout << root->_key << " "; 			_InOrder(root->_right); 		} 	private: 		Node* _root = nullptr; 	};  	void BSTreeTest2() 	{ 		BSTree dict; 		dict.Insert("string", "字符串"); 		dict.Insert("left", "左边"); 		dict.Insert("insert", "插入");  		string str; 		while (cin >> str) 		{ 			BSTreeNode* ret = dict.Find(str); 			if (ret) 			{ 				cout << ret->_val << endl; 			} 			else 			{ 				cout << "找不到" << endl; 			} 		} 	} } 

KV模型只需要在K模型的基础上进行修改即可。

性能分析

根据二叉树结构的不同,时间复杂度也会不一样。

最优情况:二叉搜索树为完全二叉树(或者接近完全二叉树),时间复杂度:O(logN)

最差情况:二叉搜索树退化为单支树(或者类似单支),时间复杂度:O(N) 

相关内容

热门资讯

我来教你/金花房间怎么创建天道... 我来教你/金花房间怎么创建天道联盟/微信链接房卡销售购买天道联盟是一款非常受欢迎的游戏,咨询房/卡添...
炸金花房卡链接多少钱/微信牛牛... 牛牛是一款非常受欢迎的棋牌游戏,咨询房/卡添加微信:86909166许多玩家在游戏中会购买房卡来享受...
正版授权“微信牛牛链接金花房卡... 随意玩是一款非常受欢迎的棋牌游戏,咨询房/卡添加微信:44346008许多玩家在游戏中会购买房卡来享...
正规平台有哪些,金花房卡官网新... 新海贝大厅/新神兽是一款非常受欢迎的棋牌游戏,咨询房/卡添加微信:【3329006910】或QQ:3...
ia攻略/金花房卡制作链接卡农... 您好!微信卡农大厅大厅链接获取房卡可以通过以下几种方式购买: 1.微信渠道:(卡农大厅)大厅介绍:...
ia实测“微信金花房卡哪里买的... 新九天是一款非常受欢迎的棋牌游戏,咨询房/卡添加微信:15984933许多玩家在游戏中会购买房卡来享...
重大通报,牛牛房卡怎么获得新下... 重大通报,牛牛房卡怎么获得新下游/人皇大厅/微信链接房卡购买联系方式新下游/人皇大厅是一款非常受欢迎...
重大通报,牛牛房卡出售乐酷大厅... 今 日消息,乐酷大厅房卡添加微信33549083 苹果今日发布了 iOS 16.1 正式版更新,简单...
正版授权“炸金花微信建群自己开... 新518互游是一款非常受欢迎的棋牌游戏,咨询房/卡添加微信:44346008许多玩家在游戏中会购买房...
玩家攻略,金花房卡代理零售皇后... 玩家攻略,金花房卡代理零售皇后大厅/房卡客服皇后大厅是一款非常受欢迎的游戏,咨询房/卡添加微信:88...
ia攻略/金花房卡专卖店海草众... ia攻略/金花房卡专卖店海草众厅/微信链接房间卡怎么购买Sa9Ix苹果iPhone 17手机即将进入...
头条推荐!金花房卡如何购买山竹... 今 日消息,山竹众娱房卡添加微信33549083 苹果今日发布了 iOS 16.1 正式版更新,简单...
房卡必备教程“微信上玩炸金花冲... 牛牛大厅是一款非常受欢迎的棋牌游戏,咨询房/卡添加微信:15984933许多玩家在游戏中会购买房卡来...
安卓11系统分享不了,安卓11... 最近是不是发现你的安卓手机升级到了11系统,但是分享功能突然失灵了?别急,让我来帮你一探究竟,找出这...
头条推荐!斗牛房间怎么创建的芙... 头条推荐!斗牛房间怎么创建的芙蓉大厅/微信链接房卡批发价芙蓉大厅是一款非常受欢迎的游戏,咨询房/卡添...
我来教你/牛牛房卡批发平台黄帝... 您好!微信黄帝大厅大厅链接获取房卡可以通过以下几种方式购买: 1.微信渠道:(黄帝大厅)大厅介绍:...
一分钟推荐“微信斗牛房卡怎么来... 新星游牛牛是一款非常受欢迎的棋牌游戏,咨询房/卡添加微信:160470940许多玩家在游戏中会购买房...
头条推荐!金花房卡批发精灵大厅... 微信游戏中心:精灵大厅房卡在哪里买打开微信,添加客服微信【88355042】,进入游戏中心或相关小程...
头条推荐!金花房卡出售众神联盟... 众神联盟是一款非常受欢迎的棋牌游戏,咨询房/卡添加微信:【3329006910】或QQ:332900...
科技实测!金花房卡批发精灵大厅... 您好!微信精灵大厅大厅链接获取房卡可以通过以下几种方式购买: 1.微信渠道:(精灵大厅)大厅介绍:...